發布時間:1701326508 人氣: 來源:
導語
雷公藤又名黃藤根、黃藥、水莽草、斷腸草、菜蟲藥、南蛇根、三棱花、旱禾花、黃藤木、紅藥、紅紫 根、黃 藤 草,為 衛矛科植物雷公藤的干燥根及根莖,性苦[1]。
關于“雷公藤”的藥理作用
雷公藤有大毒,具有殺蟲、消炎、解毒的作用[1],常用于治療自身免疫性疾病如:類風濕性關節炎、慢性腎炎、紅斑狼瘡等,在治療腫瘤方面也有較好的效果。目前,國內主要對雷公藤的抗炎、免疫抑制、抗生育等活性物質和作用機制進行研究。
“雷公藤”中的新品化合物
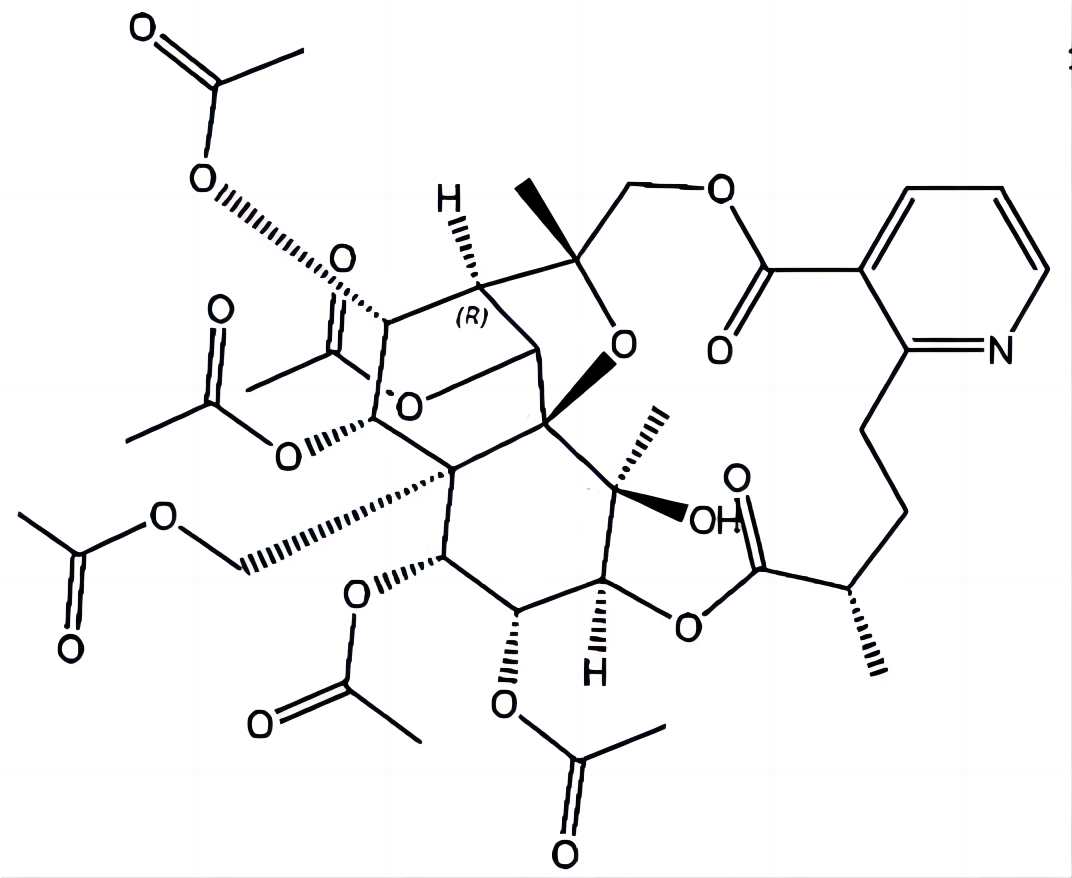
【CAS號】37239-51-3
【英文名】Wilfordine
【分子式】C43H49NO19
【分子量】883.85
【性狀】白色粉末
【化合物類型】生物堿
【來源】雷公藤
【貯藏條件】密封,干燥,冷藏(2-8℃)
【溶解性】可溶于甲醇、氯仿、DMSO
產品圖

結構圖

核磁圖


【CAS號】41758-69-4
【英文名】Euonine
【分子式】C38H47NO18
【分子量】805.78
【性狀】白色粉末
【化合物類型】生物堿
【來源】雷公藤
【貯藏條件】密封,干燥,冷藏(2-8℃)
【溶解性】可溶于甲醇、氯仿、DMSO
產品圖

結構圖

核磁圖


“雷公藤”中的其它化合物
中文名 | CAS號 | 英文名 |
雷公藤吉堿 | 37239-47-7 | Wilforgine |
雷公藤次堿 | 11088-09-8 | Wilforine |
雷公藤甲素 | 38748-32-2 | Triptolide |
雷公藤紅素 | 34157-83-0 | Celastrol |
雷公藤內酯B | 84104-70-1 | Wilforlide B |
雷公藤福定 | 139122-81-9 | Tripterifordin |
雷酚內酯 | 74285-86-2 | Triptophenolide |
雷公藤內酯酮 | 38647-11-9 | Triptonide |
雷公藤酯甲 | 84104-71-2 | Wilforlide A |
我司每個產品均通過CNAS實驗室體系的嚴格檢測,質量保證,現貨供應,庫存充足,HPLC≥98%,提供液相圖譜、核磁圖譜,可按照需求包裝定制,歡迎新老顧客前來咨詢!